行业知识

合成塔升温还原时的气体流量测量不准案例分享

2022-10-04 09:26:39 科威

合成塔升温还原时的气体流量测量不准案例分享

故障现象:在台成塔升温还原时,工艺总是反映主线气体流量难于控制,测量不准。大家都知道,在合成氨生产过程中,合成塔的工作压力足31.36 MPa,主线流量是80000 Nm3/h。当合成塔更换触媒后,必须对更换后的触媒进行升温还原。升温还原分升温期、初期、主期、末期,使触媒层的温度由室温升至515℃,压力由5.88 MPa升至13.72 MPa,然后进入轻负荷生产运行一段时间,最后加压至正常生产条件,进行氢氟合成氨。


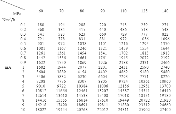
故障分析:由于升温还原时,合成塔的压力从5.88MPa丹至13.72 MPa,与正常生产时的压力31.36 MPa相差甚大。而主线气体流量是用同一台差压变送器来测量,变送器的差压是84 kPa,变送器测量的最大流量80000 Nm3/h,是在压力31.36 MPa,温度20℃的工艺条件下的流量。所以在升温还原时,必须对测量的流量进行压力修正。这就造成了在合成塔升温还原时主线流量难于控制、测量不准。合成塔主线气体流量在不同压力时的修正见表2-2。


表2-2 合成塔主线气体流量不同压力的修正表

图片关键词

当时,测量流量是用KWZKDDZ-10型的电动差压变送器,经开方器后到KW小型电子电位差计指示和记录,由修正表可知,由仪表的指示或记录来精确读数是比较困难的。由于升温还原的过程直接影响到触媒的质量和使用寿命,直接关系到合成塔的产量,丁艺很重视升温还原这一环节,必须严格按工艺要求进行。当操作工根据触煤层的温度变化,要增加或减少一点流量时,很难调节流量,不是多了,就是少了,常常调过头。如:当合成塔的操作压力在6.78 MPa时·仪表指示变化0.1 mA(即指针大约移动1 mm左右),主线流量就变化近400 Nm3/h,温度就超差了。因此操作工经常反映仪表不准、反映不灵敏,而把变送器拆来校正时仪表又是好的。


故障处理  为解决合成塔触媒升温还原时的主线流量测量和读数,便利工艺的操作,确保触媒的质量,在合成塔触媒升温还原时采用小流量流量计来测量流量,等到正常生产时再更换成正常生产时的大流量流量计来测量流量。这样虽然要更换一次仪表,但对工艺操作却方便多了,容易操作,角媒层的温度能控制了。采用小流量时,变送器的差压是21 KPa,变送器测量的最大流量40000 Nm3/h,是在压力31.36 MPa,温度20℃的工艺条件下的流量。小流量时合成塔主线气体流量在不同压力时的修正见表2-3。

图片关键词

从两个修正表中可以看到:当合成塔压力在6.86 MPa,流量为10000 Nm3/h时,要增加(或减少)1000 Nm3/h。当用大流量变送器测量时,流量度指示从2.57 mA变化到2.83 mA,变化量为0.257 mA。而当用小流量变送器测量时,流量度指示从5.14 mA变化到5.65 mA,变化量为0.514 mA。变化量增加了一倍,这样工艺操作当然方便了。


现在采用了科威智能变送器后,仪表调校更方便了,不再需要用两台不同量程的差压变送器了,也不需要在中途更换变送器了。只要在升温到一定的时候,用KWZKBT2000手持智能终端,对变送器的量程和差压等参数重新设定就可以了。同时根据需要还可以多分几个挡,使同一变化流量的指示量变化更大,更方便操作和读数。





首页
产品
新闻
联系